今年会jinnianhui“量子信息与量子计算”研究团队的玉素甫·吐拉克教授在国际著名期刊Physical Review A(影响因子3.140, JCR二区)上发表题为“Studying the squeezing effect and phase space distribution of single- photon- added coherent state using postselected von Neumann measurement”的研究论文。该论文以今年会官方网站为唯一完成单位,2019级硕士研究生徐文君为第一作者,玉素甫·吐拉克教授为通讯作者。Physical Review A是美国物理学会(American Physical Society)主办的物理学术期刊之一,是原子分子物理学领域公认的Top期刊,也是自然指数(Nature Index)所包含的期刊之一。
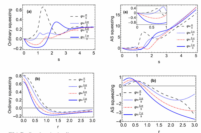
我们知道具有压缩效应、亚伯松分布等非经典特征的量子态是量子信息处理和研究量子理论中基本问题的重要资源。因此,产生并优化拥有压缩效应的量子态对以上问题的执行有很大的促进作用。论文利用一种新的压缩定义来探究后选择冯·诺依曼测量对增单光子相干(SPAC)态所携带的辐射光场压缩效应的影响。我们发现在弱测量范围内(图1),随着弱值的增加,SPAC态的一阶压缩和振幅平方(二阶)压缩效应比无后选择测量有显著增加。为了更好的解释其压缩效应的变化,探讨了测量前后相空间函数(Wigner函数)的变化情况,发现后选择测量后随着弱值的变大SPAC态的相空间分布(图2)不仅受到明显的压缩,而且在强测量范围内也显示出很显著的干涉结构,同时也具有非常突出的非经典性--相空间中出现的的负面积变大。基于量子弱测量技术的这量子态优化方案为解决与SPAC态相关的量子信息处理中的实际问题提供一种有效的执行方法,并对其他量子态的优化和操控也有参考价值。
该工作的开展获得国家自然科学基金(No.11865017)、自治区自然科学基金(No.2020D01A72)和自治区高层次人才引进工程等项目资助。
该论文链接:https://doi.org/10.1103/PhysRevA.105.022210

后选择冯·诺依曼测量对SPAC 态压缩效应的影响

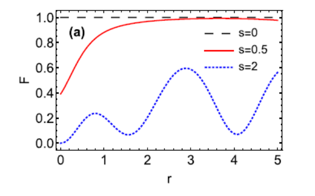
测量前后量子态的变化情况(保真度)
测量前后量子态相空间分布的变化比较(魏格纳函数)